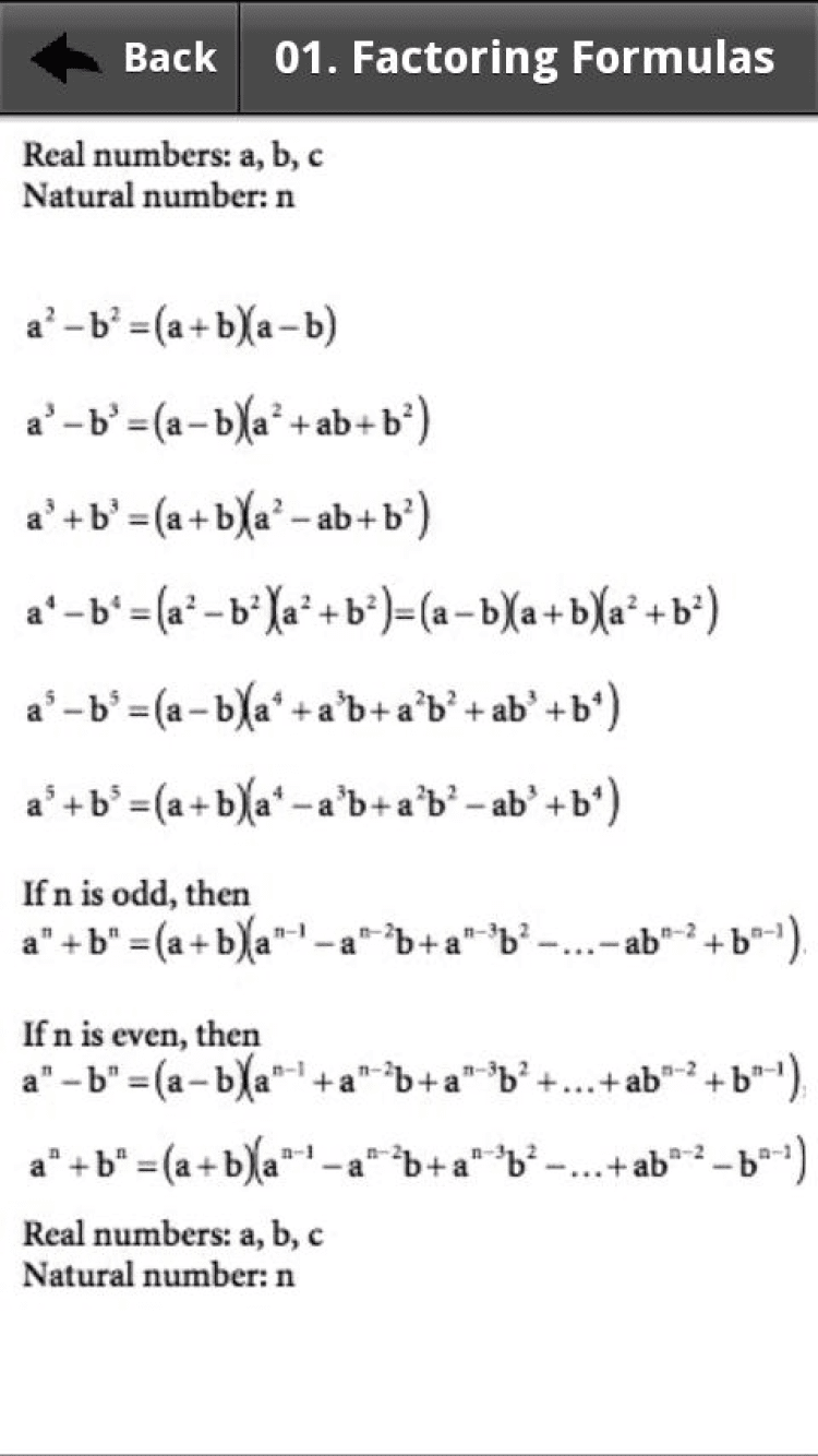
Math Формула Ссылка Программа, которая содержит набор полезных математических формул. Больше не придется держать всё в памяти. Лучшие шпаргалки доступны вам в любом месте и в любое время. Перед вами формулы из алгебры, геометрии и тригонометрии. Программа бесплатна, содержит рекламу.

Math Формула Ссылка
Рейтинг:
Лицензия:
Бесплатно
Версия:1.1.0
Дата обновления:29 марта 2025 г. 3:00
Платформа ОС:Android 2.x, Android 3.x, Android 4.x, …
Язык:Английский
Разработчик:
BIT LABS
Размер:14.72 МБ
Загрузок:0