Логотип

Шпаргалки по геометрии

Рейтинг:
  • 4,0
  • 392
Лицензия: Бесплатно
Версия:2.0
Дата обновления:29 марта 2025 г. 3:00
Платформа ОС:Android 2.x, Android 3.x, Android 4.x, …
Язык:Русский
Разработчик: Lev Sokolov
Размер:7.67 МБ
Загрузок:0
  • Бесплатно
  • Android
47

Скачать Шпаргалки по геометрии

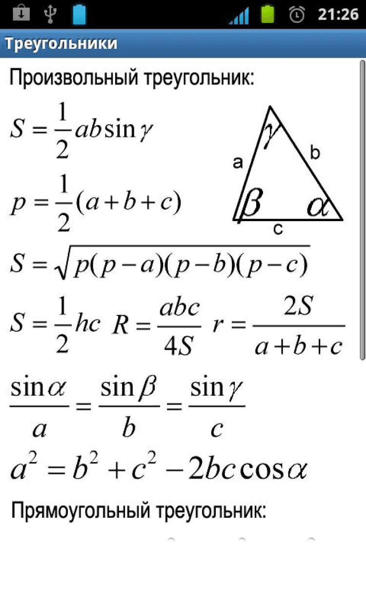
Шпаргалки по геометрии Бесплатный набор шпаргалок по геометрии, привычные русскому глазу, который всегда будет у вас под рукой, на экране мобильного телефона.

В программу включены формулы двум школьным разделам геометрии:

  • Планиметрия;
  • Стереометрия.